化学科学与工程学院韩璐团队通过人工电催化二氧化碳合成氨基酸,相关研究成果发表于Chem
来源:化学科学与工程学院
时间:2022-12-09 浏览:
在自然界中,通过生物固碳和二氧化碳还原反应可以得到从小分子到生物分子的一系列产物。虽然目前人工电催化二氧化碳还原反应可以形成多碳,但具有多种官能团的(如C-N键和C=O键)的C3+产物,特别是生物分子还无法实现。针对这一难题,我校化学科学与工程学院韩璐教授课题组与上海交通大学车顺爱、周忠岳教授、复旦大学刘智攀教授团队合作攻关。近日,他们首次通过使用手性无机纳米铜材料应用于二氧化碳电催化还原之中,人工合成了氨基酸,相关成果“Synthesis of Amino Acids by Electrocatalytic Reduction of CO2 on Chiral Cu Surfaces”发表于Cell Press知名期刊Chem上。

该研究工作首次通过电催化还原二氧化碳得到了含有C-N键的C3+对映体氨基酸。研究发现手性晶面限制了C3+中间体在催化剂表面的构型变化,从而降低了二氧化碳还原合成C3+产物的反应能垒。虽然主要的氨基酸产物是丝氨酸,但反应中也观察到了多种氨基酸和尿素的生成,这表明手性晶面电催化合成生物分子广阔的应用前景。此外,本工作中发现的在催化体系中引入手性晶面也是提高合成C3+产物的催化材料本征活性的有力途径。

该项工作中,人工电催化合成的主要氨基酸产物为丝氨酸,其对映体过量值(ee%)可超过90%。通过进一步研究发现,形成氨基酸的机理归因于手性无机纳米铜膜表面的手性晶面从热力学和动力学双方面对二氧化碳电催化还原路径的改变。该研究为二氧化碳电催化还原合成高附加值和手性的多碳产物提供了重要借鉴。

铜和铜合金是电催化二氧化碳还原合成多碳产物、C1-C2分子和C3-4脂肪醇的主要催化剂。然而,含有C-N键的二氧化碳还原产物仅限于C1-C2产物(尿素、甲胺和乙胺)。据实验和理论报道,催化剂表面的原子构型可以通过降低反应途径的能垒来提高Cu基催化剂对电催化二氧化碳还原反应的本征催化活性。然而,目前所报道的铜表面活性位点对催化活性的增强仅在C1-2分子和正丙醇中观察到。

基于此,该论文首次将手性无机纳米铜材料作为电催化二氧化碳还原催化剂应用,并通过扫描电镜、透射电镜和理论计算揭示了其手性纳米结构和手性表面(Cu(653)S)的存在。
研究人员进一步对合成的手性无机纳米铜膜进行了催化性能研究,通过-0.6~-1.3V vs RHE的CV经过24小时以后可以得到~3.8 (±0.6)、~58.6 (±6.5) 和~108.1 (±6.5) μmol的丝氨酸、乙醇和甲酸产物,法拉第效率为:~1.2 (±0.2)、~22.3 (±2.5) 和~6.8 (±0.4) %,其中丝氨酸的ee%可以达94%。

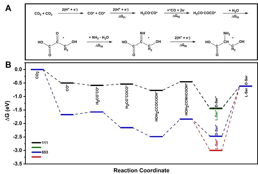
通过密度泛函理论(DFT)计算,研究人员对电催化二氧化碳还原形成丝氨酸的路径和机理进行了研究。计算得出,在手性晶面Cu(653)S上热力学上更倾向于形成3-羟基丙酮酸中间体和丝氨酸,并且更倾向于形成L-丝氨酸,证实了手性无机纳米铜膜表面的手性晶面结构对于形成丝氨酸和对映体选择性起重要作用。
进一步的DFT计算发现手性晶面Cu(653)S也能从动力学上促进丝氨酸的形成,稳定重要中间体H2COCOCO*和3-羟基丙酮酸*的构型,从而降低H2COCOCO*水解形成3-羟基丙酮酸*的活化能以及反应的能垒。
我校化学科学与工程学院博士研究生方宇熙为论文第一作者,化学科学与工程学院韩璐教授与上海交通大学车顺爱教授、周忠岳教授、复旦大学刘智攀教授为共同通讯作者。
论文链接:https://doi.org/10.1016/j.chempr.2022.10.017